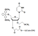
Description
Chemical Names: 5'-O-DMT-2'-MOE-U-3'-LCAA CPG
Catalog Number: 21-4537-05; Pore Size: 500 Å
Catalog Number: 21-4537-10; Pore Size: 1000 Å
Catalog Number: 21-4537-20; Pore Size: 2000 Å
Catalog Number: 21-4537-30; Pore Size: 3000 Å
* For all CPG orders, at the Checkout/Cart Page, there is an "Order Instructions" space. Please write in that textbox which pore size you are looking for and if you have a preference on loading (umol/g).
Payment & Security
Your payment information is processed securely. We do not store credit card details nor have access to your credit card information.
